A Zika-vírus általában kevésbé súlyos, az influenzához hasonló tüneteket okoz, és a betegek néhány nap alatt ki is gyógyulnak belőle. Az igazi veszélyt a méhen belüli magzatokra jelenti, hisz több születési rendellenességet, például a szellemi fogyatékosságot okozó kisfejűséget (microcephaliát) is ezzel a kórokozóval hozzák összefüggésbe.
A közvélemény a vírussal legutóbb a 2015-2017-es dél-amerikai járvány kitörésekor szembesült, amelynek részei voltak a 2016-os, Rio de Janeiróban megrendezett olimpia környéki megbetegedések.
A riadalom olyan mértékű volt, hogy akadt sportoló, aki emiatt mondta le a szereplést.
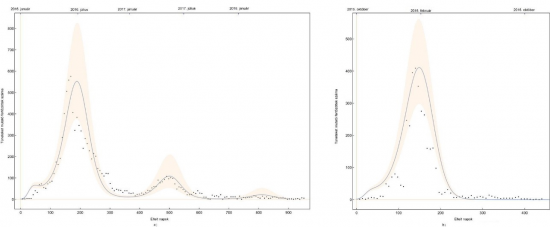
A vírus terjedésére több matematikai modellt is alkottak, most viszont szegedi matematikusok – Dénes Attila, Mahmoud Ibrahim, Lillian Oluoch, Tekeli Miklós és Tekeli Tamás – egy teljesen újat dolgoztak ki. Eredményüket a napokban tették közzé „Impact of weather seasonality and sexual transmission on the spread of Zika fever” címmel a Scientific Reports című folyóiratban.
Az új módszerben és az eddigiekben közös, hogy egyaránt figyelembe vesznek olyan tényezőket, mint például a vírus kétféle terjedési módja: tehát a tünetmentes hordozók szerepe, illetve hogy a betegek gyógyulásuk után nemi úton továbbra is fertőzhetnek. A szegedi modell viszont olyan időfüggő paraméterekkel is számol, melyekkel a korábbiak nem. Ilyen például hogy a fertőzést okozó szúnyogok szaporodási rátája periodikusan váltakozik az évszakok változásával párhuzamosan.
Ez a modell sok szempontból pontosabb előrejelzést tesz lehetővé, másrészt magyarázhatja az eddigi járványok kapcsán tapasztalt eltéréseket is. Illetve így megbecsülhetővé válik a járvány terjedésében a nemi úton történő fertőzés mértéke, ahogy az is, hogy mennyivel több nőt érintett a járvány, ami a Zika fent kifejtett szövődményei – méhen belüli fejlődési zavarok – miatt különösen fontos.
(Kép: Wikipedia, Pixabay, Diagram, Forrás: Szegedi Tudományegyetem)
